Einführung in das Tidyverse
David Robinson
Chief Data Scientist, DataCamp

ggplot(gapminder_2007, aes(x = lifeExp)) +
geom_histogram()

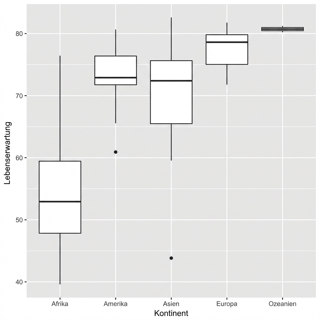
ggplot(gapminder_2007, aes(x = continent, y = lifeExp)) +
geom_boxplot()


Einführung in das Tidyverse