Kutu grafikleri

Tidyverse’a Giriş

David Robinson

Chief Data Scientist, DataCamp

Histogramlar

9082EDp.png

ggplot(gapminder_2007, aes(x = lifeExp)) +
  geom_histogram()
Tidyverse’a Giriş

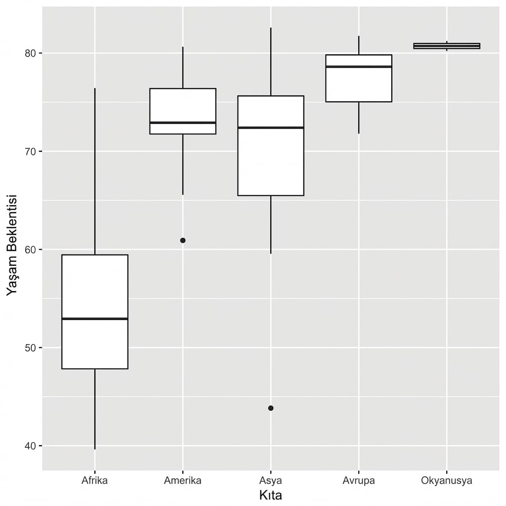
Kutu grafikleri

6PlufTn.png

ggplot(gapminder_2007, aes(x = continent, y = lifeExp)) +
  geom_boxplot()
Tidyverse’a Giriş

Histogram vs. kutu grafiği

9082EDp.png

6PlufTn.png

Tidyverse’a Giriş

Hadi pratik yapalım!

Tidyverse’a Giriş

Preparing Video For Download...