Boxplots

Data­visualisatie begrijpen

Richie Cotton

Data Evangelist at DataCamp

Je kunt histogrammen niet zomaar inkleuren

Een histogram van de startleeftijd van de regering van Engelse koningen en koninginnen, ingekleurd per koningshuis. Het lijkt op een blobmonster uit een videogame uit de jaren 80.

Data­visualisatie begrijpen

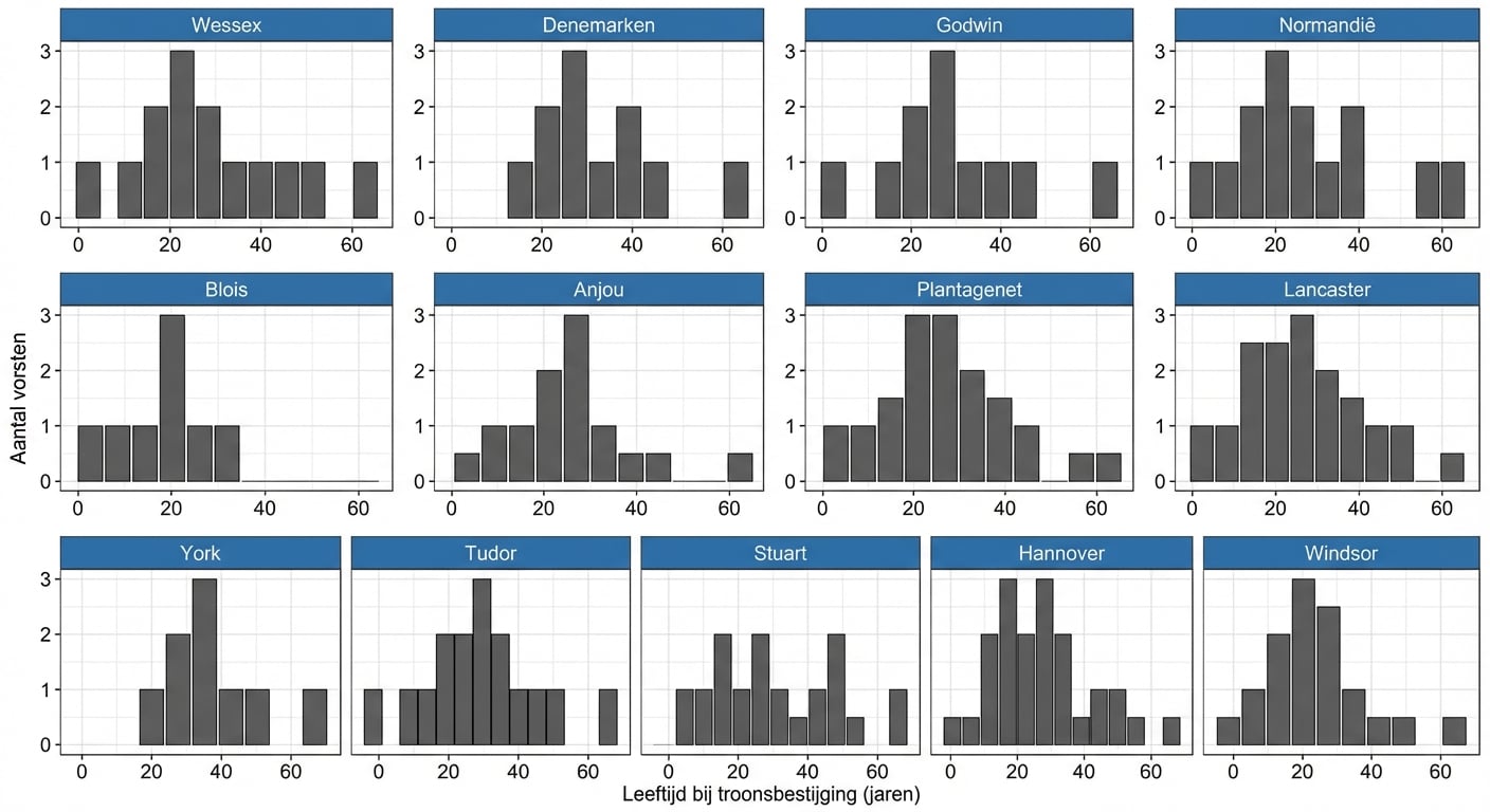
Teken elk histogram in een eigen paneel

Een histogram van de startleeftijd van de regering van Engelse koningen en koninginnen, met aparte panelen per koningshuis.

Data­visualisatie begrijpen

Teken elk histogram in een eigen paneel

Een histogram van de startleeftijd van de regering van Engelse koningen en koninginnen, met aparte panelen per koningshuis. De linkerkolom met panelen is gemarkeerd.

Data­visualisatie begrijpen

Teken elk histogram in een eigen paneel

Een histogram van de startleeftijd van de regering van Engelse koningen en koninginnen, met aparte panelen per koningshuis. De huizen Lancaster en York zijn gemarkeerd.

Data­visualisatie begrijpen

Een histogram van de startleeftijd van de regering van Engelse koningen en koninginnen, met aparte panelen per koningshuis. De panelen staan verticaal in één kolom, waardoor de plot lang en smal is.

Data­visualisatie begrijpen

Wanneer gebruik je een boxplot?

  1. Bij een continue variabele, opgesplitst per categorische variabele.
  2. Als je de verdelingen per categorie wilt vergelijken.
Data­visualisatie begrijpen

Histogram vs. boxplot

Een histogram van de startleeftijd van de regering van koningen en koninginnen.

Een boxplot van de startleeftijd van de regering van koningen en koninginnen.

Data­visualisatie begrijpen

Histogram vs. boxplot: middenlijn

Een histogram van de startleeftijd van de regering van koningen en koninginnen.

Een boxplot van de startleeftijd van de regering van koningen en koninginnen. De plot is geannoteerd met de middenlijn op de mediaan.

Data­visualisatie begrijpen

Histogram vs. boxplot: de box

Een histogram van de startleeftijd van de regering van koningen en koninginnen.

Een boxplot van de startleeftijd van de regering van koningen en koninginnen. De plot is geannoteerd met de dooszijden van het onderste kwartiel tot het bovenste kwartiel, en het interkwartielbereik als het verschil daartussen.

Data­visualisatie begrijpen

Histogram vs. boxplots: de snorharen

Een histogram van de startleeftijd van de regering van koningen en koninginnen.

Een boxplot van de startleeftijd van de regering van koningen en koninginnen. De plot is geannoteerd met de snorharen van de boxzijden tot de laagste en hoogste niet-extreme waarden.

Data­visualisatie begrijpen

Vorsten per huis

Boxplots van de startleeftijd van de regering van koningen en koninginnen, één per koningshuis.

Data­visualisatie begrijpen

Laten we oefenen!

Data­visualisatie begrijpen

Preparing Video For Download...