Supervised Learning dengan scikit-learn
George Boorman
Core Curriculum Manager, DataCamp
Regresi logistik digunakan untuk klasifikasi
Regresi logistik menghasilkan probabilitas
Jika probabilitas, $ \ p>0.5$:
1Jika probabilitas, $ \ p<0.5$:
0
from sklearn.linear_model import LogisticRegressionlogreg = LogisticRegression()X_train, X_test, y_train, y_test = train_test_split(X, y, test_size=0.3, random_state=42)logreg.fit(X_train, y_train)y_pred = logreg.predict(X_test)
y_pred_probs = logreg.predict_proba(X_test)[:, 1]print(y_pred_probs[0])
[0.08961376]
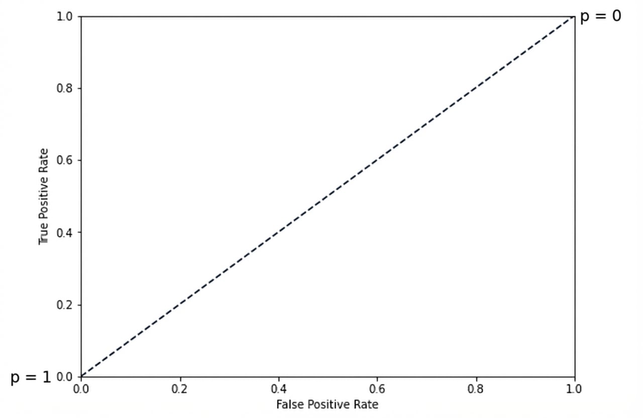
Default, ambang regresi logistik = 0.5
Tidak khusus untuk regresi logistik
Apa yang terjadi jika kita ubah ambang?






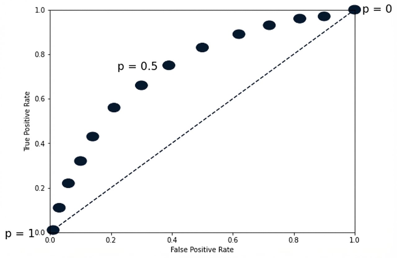
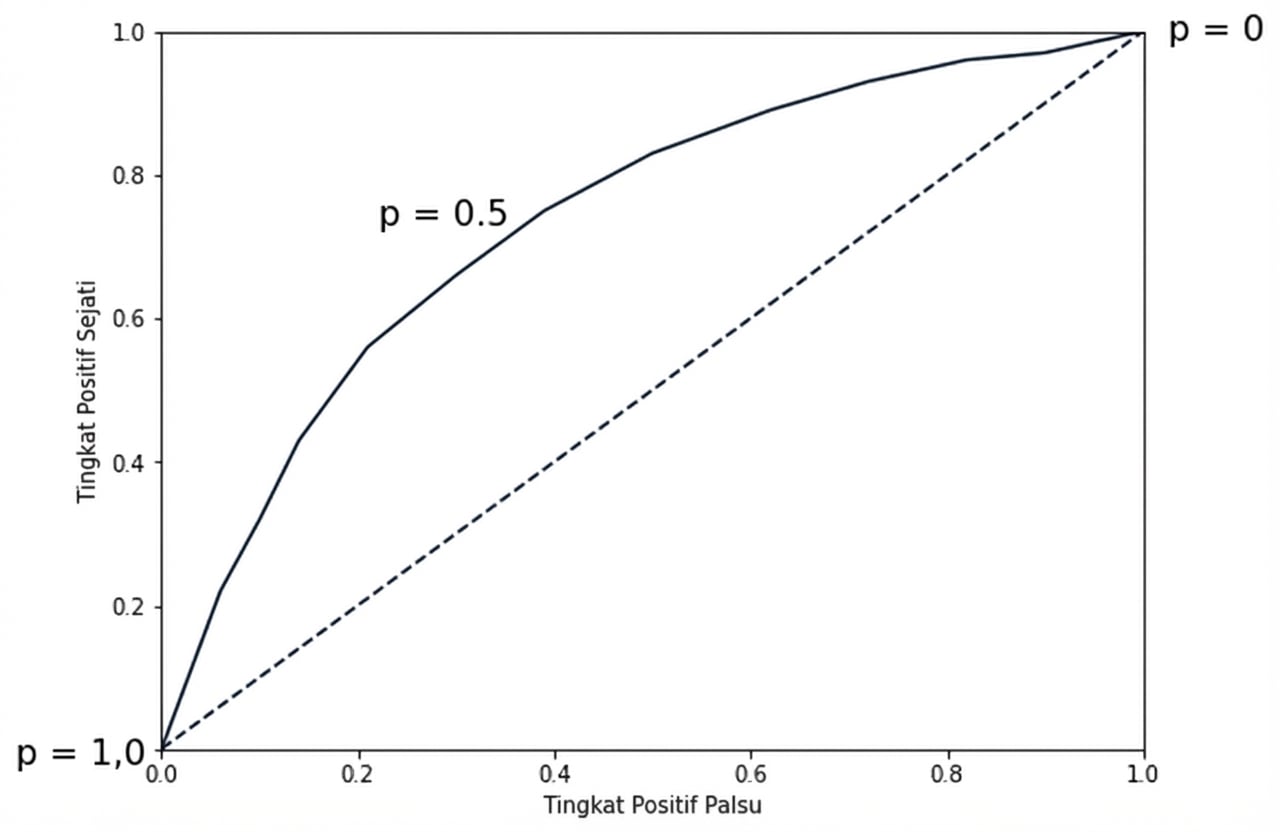
from sklearn.metrics import roc_curvefpr, tpr, thresholds = roc_curve(y_test, y_pred_probs)plt.plot([0, 1], [0, 1], 'k--') plt.plot(fpr, tpr) plt.xlabel('False Positive Rate') plt.ylabel('True Positive Rate') plt.title('Logistic Regression ROC Curve') plt.show()


from sklearn.metrics import roc_auc_scoreprint(roc_auc_score(y_test, y_pred_probs))
0.6700964152663693
Supervised Learning dengan scikit-learn