Memplot banyak variabel sekaligus

Memahami Visualisasi Data

Richie Cotton

Data Evangelist

Kapan menggunakan plot pasangan?

  • Anda memiliki hingga sepuluh variabel (kontinu, kategorikal, atau campuran).
  • Anda ingin melihat distribusi tiap variabel.
  • Anda ingin melihat hubungan tiap pasangan variabel.
Memahami Visualisasi Data

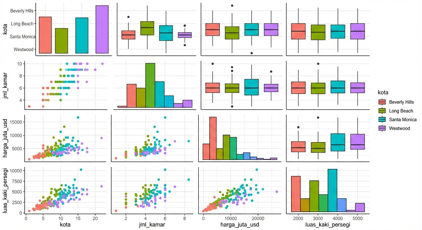
Plot pasangan harga rumah LA

Memahami Visualisasi Data

Plot pasangan harga rumah LA yang hanya menampilkan distribusi kota

Memahami Visualisasi Data

Plot pasangan harga rumah LA yang hanya menampilkan distribusi variabel kontinu

Memahami Visualisasi Data

Plot pasangan harga rumah LA yang hanya menampilkan hubungan antarvariabel kontinu

Memahami Visualisasi Data

Plot pasangan harga rumah LA yang hanya menampilkan hubungan antara variabel kontinu dan kategorikal

Memahami Visualisasi Data

Plot pasangan harga rumah LA

Memahami Visualisasi Data

Plot pasangan harga rumah LA yang hanya menampilkan panel dengan angka korelasi

Memahami Visualisasi Data

Kapan menggunakan heatmap korelasi?

  • Anda memiliki banyak variabel kontinu.
  • Anda ingin ringkasan sederhana tentang bagaimana tiap pasangan variabel saling terkait.
Memahami Visualisasi Data

Heatmap korelasi survei kepuasan pelanggan untuk produk iklan Yellow Pages

1 Rossi, Allenby, and McCulloch (2005). Bayesian Statistics & Marketing
Memahami Visualisasi Data

Dataset Perserikatan Bangsa-Bangsa lagi

Plot sebar panjang masa sekolah vs GNI dengan harapan hidup sebagai warna

Memahami Visualisasi Data

Kapan menggunakan plot koordinat paralel?

  • Anda memiliki banyak variabel kontinu.
  • Anda ingin menemukan pola antarvariabel, atau
  • Anda ingin memvisualisasikan klaster observasi.
Memahami Visualisasi Data

Plot koordinat paralel

Plot koordinat paralel untuk GNI, indeks pembangunan manusia, harapan hidup, dan rata-rata lama sekolah

Memahami Visualisasi Data

Plot koordinat paralel untuk GNI, indeks pembangunan manusia, harapan hidup, dan rata-rata lama sekolah, dipisah per benua

Memahami Visualisasi Data

Ayo berlatih!

Memahami Visualisasi Data

Preparing Video For Download...