Diagram kotak

Pengantar Tidyverse

David Robinson

Chief Data Scientist, DataCamp

Histogram

9082EDp.png

ggplot(gapminder_2007, aes(x = lifeExp)) +
  geom_histogram()
Pengantar Tidyverse

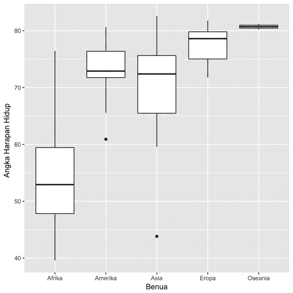
Diagram kotak

6PlufTn.png

ggplot(gapminder_2007, aes(x = continent, y = lifeExp)) +
  geom_boxplot()
Pengantar Tidyverse

Histogram vs diagram kotak

9082EDp.png

6PlufTn.png

Pengantar Tidyverse

Ayo berlatih!

Pengantar Tidyverse

Preparing Video For Download...